如今,越來越多人開始注重原料的天然與健康,希望由內而外煥發自身健康與美麗。
本期,我們將帶你了解四種天然成分:紅石榴粉、丹鳳牡丹花、金頂側耳及玫瑰茄,如何發揮抑黑、抗氧化或抗糖化等功效,成為你的天然美白新選擇。
紅石榴,被譽為“自然界的紅寶石”,在《本草綱目》中記載了其皮、根、花的廣泛藥用價值[1]。
紅石榴
現代研究顯示,紅石榴富含超過200種活性成分[2-3],采用專利技術科學提取后,紅石榴粉有效活性成分可達167種以上。
其中,鞣花酸含量高達1000mg/kg以上,安石榴苷含量可突破100g/kg,這些成分協同作用,能對人體健康產生顯著的積極影響。
紅石榴粉中富含的鞣花酸和安石榴苷,能有效抑制酪氨酸酶的活性,抑制黑色素生成、影響黑素細胞的增殖與轉運并加速其凋亡,從而減少皮膚色素沉著。
實驗顯示:黑色素瘤細胞經過低至高濃度的紅石榴提取物處理后,黑色素的生成量分別降低了27.1%、46.0%、64.2%和66.8%[4]。
不同含量的紅石榴粉對黑色素生成抑制率
結果表明,鞣花酸和安石榴苷在不同濃度下均能顯著降低黑色素的生成,其效果優于傳統美白成分熊果苷[5-6]。
安石榴苷/鞣花酸/熊果苷
抑制酪氨酸酶活性對比
此外,安石榴苷和鞣花酸還表現出強大的抗氧化能力,能夠清除DPPH自由基、減弱酪氨酸氧化,進而抑制酪氨酸酶的活性。
這些機制共同作用下,紅石榴粉在抑制黑色素傳遞和緩解皮膚老化方面展現出顯著效果[6-8]。
丹鳳牡丹花在傳統中醫中久負盛名,現代研究發現,其富含萜類、黃酮類、多酚類成分,具備抗氧化功效[9]。
牡丹花
丹鳳牡丹花的芍藥苷含量高達13000mg/kg,通過芍藥苷和丹皮酚等活性成分不同的作用機制,該原料形成了強大的美白提亮膚色體系,能發揮抑制黑色素生成和抗糖化、抗衰老等功效[10-14]。
研究表明,1%質量分數的牡丹花提取物的酪氨酸酶抑制率可達93.52%,具有良好的抑制黑色素生成、提亮膚色的功效[15]。
1%提取物及熊果苷對酪氨酸酶抑制率
實驗還顯示,經中、高劑量的牡丹花瓣提取物處理后,黑色素的生成量分別降低了11.9%和27.3%,多巴氧化酶活性活性下降9.5%和35.7%,酪氨酸酶活性下降10%和30%[16],具備抑制黑色素生成的能力。
不同含量提取物及熊果苷酪氨酸酶抑制率
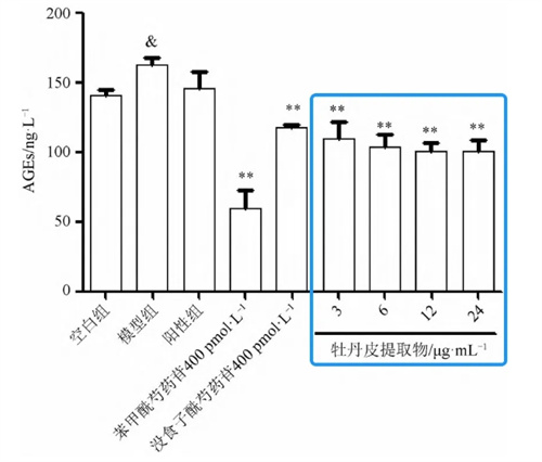
晚期糖基化終末產物(AGEs)會帶來膚色暗沉、彈性下降等皮膚問題。
研究顯示,經牡丹皮提取物作用后,細胞內AGEs的含量顯著性下降,即提取物在一定程度上抑制了AGEs的生成,從而發揮抗糖化功效[14]。
牡丹皮提取物及單體成分的AGEs抑制作用
金頂側耳是來自東北地區的珍稀食藥兼用菌,其提取物中的L-麥角硫因(EGT/ET)含量可達1%以上,研究表明該成分具有細胞保護和抗氧化作用[17,18]。
金頂側耳*
麥角硫因作為能進入線粒體和細胞核的長效天然抗氧化劑,可以抑制DNA損傷,有效防護紫外損傷,發揮保護細胞、防止光老化的作用[19]。
麥角硫因可以進入線粒體被吸收和儲存
麥角硫因還具有清除自由基、減少脂質過氧化、促進身體自身抗氧化酶的能力,其抗氧化能力與著名的輔酶Q10和艾地苯相當[20]。
麥角硫因細胞保護示意圖
此外,研究還發現每天口服一定量的麥角硫因,其在皮膚細胞中累積量增加了4.6倍[21]。
口服麥角硫因在皮膚細胞中累計量
玫瑰茄,又稱洛神花,不僅是國人日常茶飲的佳品,更在中醫里有著悠久的應用歷史[22]。
玫瑰茄(洛神花)
其富含有機酸、花色苷、多酚、多糖和黃酮等多種活性成分[23],這些成分協同作用,能發揮廣泛的健康益處。
玫瑰茄中的花色苷成分有優秀的生物活性,能夠有效抗氧化、調節血脂并輔助控制血糖水平。
而玫瑰茄中的花青素則表現出良好的抗氧化應激和抗氧化能力。
花青素抗氧化效果
實驗顯示:在2mg/mL濃度下,花青素對羥自由基的清除率高達97.85%,其總的抗氧化能力優于維生素C[24]。
此外,玫瑰茄中的羥基檸檬酸含量高達200g/kg以上。
羥基檸檬酸能夠通過減少脂肪合成、促進脂肪消耗和增強糖原異生的方式發揮作用,其中的糖原異生不僅能增強耐氧運動能力,還能加速脂肪代謝[25]。
隨著科學研究的進步,正有越來越多天然成分的功效被發掘。
完美科學篩選紅石榴粉、丹鳳牡丹花、金頂側耳與玫瑰茄這四種天然原料,憑借其豐富的活性成分和抑黑美白、抗氧化或抗糖化等功效,發揮自然力量,將成為我們追求健康與美麗的新選擇。
有關天然原料的配方應用
敬請關注生科院后續文章!


















